PA真人视讯在6G新型多址接入技术领域取得新进展
近期,中国科研实验室上海高等研究院-智能信息通信技术研究与开展中心周婷研究员团队联合清华大学团队在6G新型多址接入技术领域取得重要进展。该研究面向5G-Advanced及6G后续演进中超大规模机器连接场景的应用需求,聚焦多用户上行非正交多址接入技术,从基础通信理论角度出发,率先推导了上行多用户在多种调制策略下的误码率闭式解;理论推导并分析论证了多用户非对称上行信道“边界效应”的边界阈值,为优化调制策略的选择给予了指导;基于严格推导证明的误码率闭式解的数学性质,研究团队进一步提出一种非对称自适应调制框架与算法,能够有效减轻“边界效应”对系统性能产生的不稳定性影响,使得多用户上行非正交多址接入技术在满足目标误码率的前提下,对比现有对称性自适应调制算法能够有效提高系统吞吐量性能。相关成果以“Asymmetric Adaptive Modulation for Uplink NOMA Systems”为标题,发表于电信学顶尖期刊《IEEE Transactions on Communications》(中科院一区)。
在过去的数十年间,无线通信技术取得了长足的进步,高速、高效的5G通信技术正在被广泛应用于各个领域。从1G到5G,无线空中接口的多址接入方式(如TDMA、FDMA、CDMA、OFDM)均属于正交多址接入方式,即在一个基本通信资源块上只能服务一个用户。然而,有限的频谱资源将制约未来移动通信网络的开展,如何提高通信系统的频谱效率始终是一大挑战。非正交多址接入技术在一个基本通信资源块上能同时服务多个用户,从而在频谱效率、最大连接数以及时延等指标方面相比于传统的正交多址系统能够取得显著的性能增益。因而在近年来,非正交多址接入技术成为5G-Advanced及6G移动通信系统中极具竞争力的候选技术,取得了业界广泛的关注。
自适应调制编码是非正交多址技术领域最热门的关键技术之一。如果将现有的正交多址接入系统自适应调制技术应用到非正交多址接入系统当中,将使得非正交多址接入技术无法取得最佳性能,同时在上行非正交多址接入系统中,由于用户间信道增益的差异还将产生一种“边界效应”,它会造成系统误码率、吞吐量等性能的不稳定。本研究成果第一时间奠定了多用户上行非正交多址接入系统的误码率闭式解以及“边界效应”边界阈值表达的理论基础,在此基础上首创提出了非对称自适应调制框架和算法,显著提升了上行非正交多址接入系统整体吞吐量,有效解决5G-Advanced及6G后续演进中超大规模机器连接场景的应用需求。
本研究由中国科研实验室上海高等研究院团队牵头、联合清华大学团队完成。其中,智能信息中心博士研究生王恺杰为论文第一作者、周婷研究员为通讯作者。本项研究工作取得了国家重点研发计划、上海市科委基础重点专项、上海市优秀学术带头人计划、上海市青年科技启明星计划以及中科院青年创新促进会的资助支持。
原文链接:http://ieeexplore.ieee.org/document/9504531

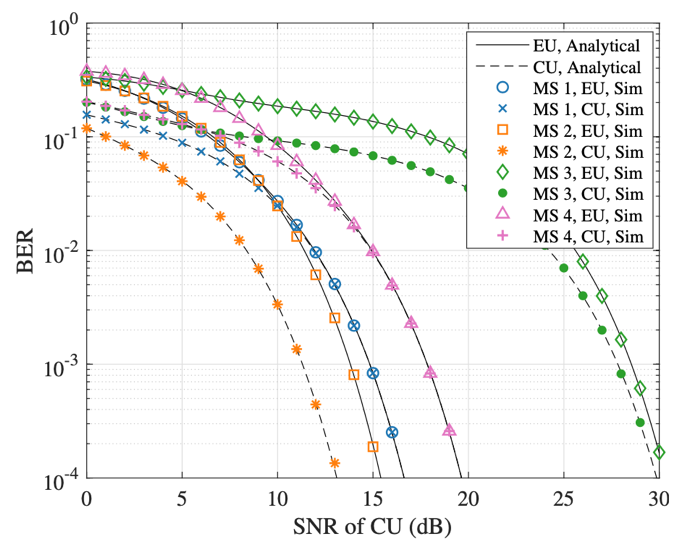
图1. 不同调制策略下用户的误码率性能对比

图2. 自适应调制算法的系统吞吐量性能对比:(a) 高斯白噪声信道;(b) 瑞利衰落信道。
附件下载: